QuotesGram
  • Join
  • Authors
  • Topics
  • Movies
  • TV Shows

Citing In Mla Long Quotes

Thank you! Don't forget to confirm subscription in your email.

Citing Quotes
Long Quotes
To create a block quote:
of a paper in mla style
format-a-block-quote.jpg
MLA Work Cited: movies (OWL)
/ 2
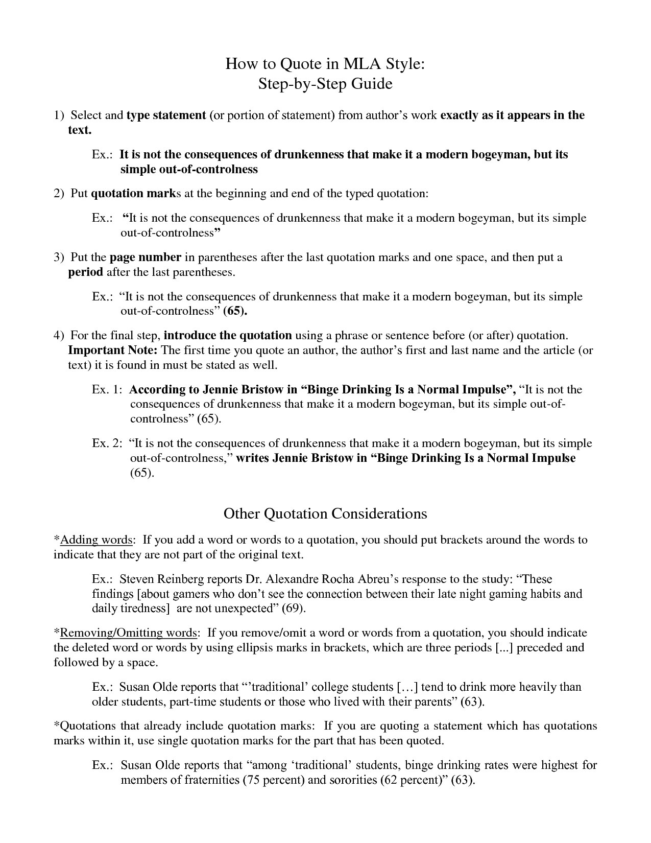
How to Cite Quotes MLA Format
File Name : Slide6.JPG Resolution : 960 x 720 pixel Image Type : jpeg ...
Format-a-Block-Quote-Step-24.jpg
How To Cite A Website In Text Mla With No Author
Essay mla format quotes
Long Quotes Essay Mla
IN TEXT CITATION STYLE GUIDE MLA DIRECT QUOTES AND by cantaloop
MLA Documentation.ppt by handongqp
Hacker-Orlov-MLA-Quote
Our block quote looks like the poem. To try and maintain the illusion ...
MLA Formatting, Quote Citations, and Works Cited
Legal
Essays with long quotes mla how to write an outline english paper
Mla citation block quote
how to cite quotations both short and long in your essays
Block text quotes mla cover letter harvard gsd resume professional ...
how to cite social media
MLA Formatting, Quote Citations, and Works Cited
In poetic or musical quotes four lines or longer , block quote by ...
quoting a long quote in mla format
Home Portfolio Vision Detail Services Consultancy In the press Contact
In Text Citation Direct Quote
Home Portfolio Vision Detail Services Consultancy In the press Contact
Research paper quote citing
Click to enlarge the illustrations
Mla Citation Block Quote
... direct quotation in a student paper (example follows MLA Style Manual
Related Pictures essay format example thesis statement english ...
WRITE A BIBLIOGRAPHY (LIST OF WORKS CITED) IN MLA FORMAT
Works Cited
Quote in Text Citations MLA Format
MLA Formatting, Quote Citations, and Works Cited Mla Citing Quotes From Websites MLA Formatting, Quote Citations, and Works Cited Mla Format Examples Quotes MLA Formatting, Quote Citations, and Works Cited Quotes In Mla Style Within Text Click to enlarge the illustrations Mla Format Book Quotes MLA Formatting, Quote Citations, and Works Cited Mla Citing Book Quotes In Text Citation Mla Format Poem Mla Citing Page Number Quotes How to Cite Quotes in an Essay Citing Quotes In An Essay Abraham Lincoln quotes about religion Abraham Lincoln Quotes albert-einstein-quotes.png Albert Einstein Quotes Bill Gates Quotes I choose a lazy person to do a hard job. Because a ... Bill Gates Quotes Best Bob Marley Quotes 2013 5 Bob Marley Quotes Bruce Lee Quotes Bruce Lee Quotes

Quotes

  • Authors
  • Topics
  • Movie Quotes
  • TV Show Quotes

QuotesGram

  • About Us
  • Contact Us
  • Quote of the Day

Terms

  • Privacy Policy
  • Terms & Conditions
  • Copyright Complaint

Follow Us

  • Facebook
  • Twitter
  • Pinterest
  • Instagram

Share Quote

Report Quote

Your intellectual property
Thank you!

Add Quote




Thank you!

Login with

or
Looking to create an account?
Forgot your password?
Already have an account? Login