QuotesGram
  • Join
  • Authors
  • Topics
  • Movies
  • TV Shows

Book Quotes In Mla

Thank you! Don't forget to confirm subscription in your email.

Book Quotes
Block quote of prose
Author's name. Title of the book . Place of publication: Publisher's ...
sdl-MLA_AudioBook.gif
How to Cite an E-book in MLA
MLA Formatting, Citation and Integrating quotation
mla citation style mla format mla works cited verse quotations
Freud, S. (1965).
Diagrams for MLA & APA Citations
Citing from an online database (MLA):
... Book http://docsouth.unc.edu/support/citing/detail/mla_book.html
Home Uncategorized Essay quotes mla format
Citing Quotes MLA Style, Citing Books in MLA Style, Citing Quotes MLA ...
MLA Formatting, Quote Citations, and Works Cited
MLA Formatting, Quote Citations, and Works Cited
MLA book image
MLA_Book_with_author.png
Home Uncategorized Mla format movie title in essay
Book-Quotes-in-Mla-Format-43
MLA Formatting, Quote Citations, and Works Cited
Mla Citing A Play In Text Citation
MLA Format MLA REMINDERS Quote by MikeJenny
MLA Formatting, Citation and Integrating quotation
Essay quotes mla format - Refresh Miami
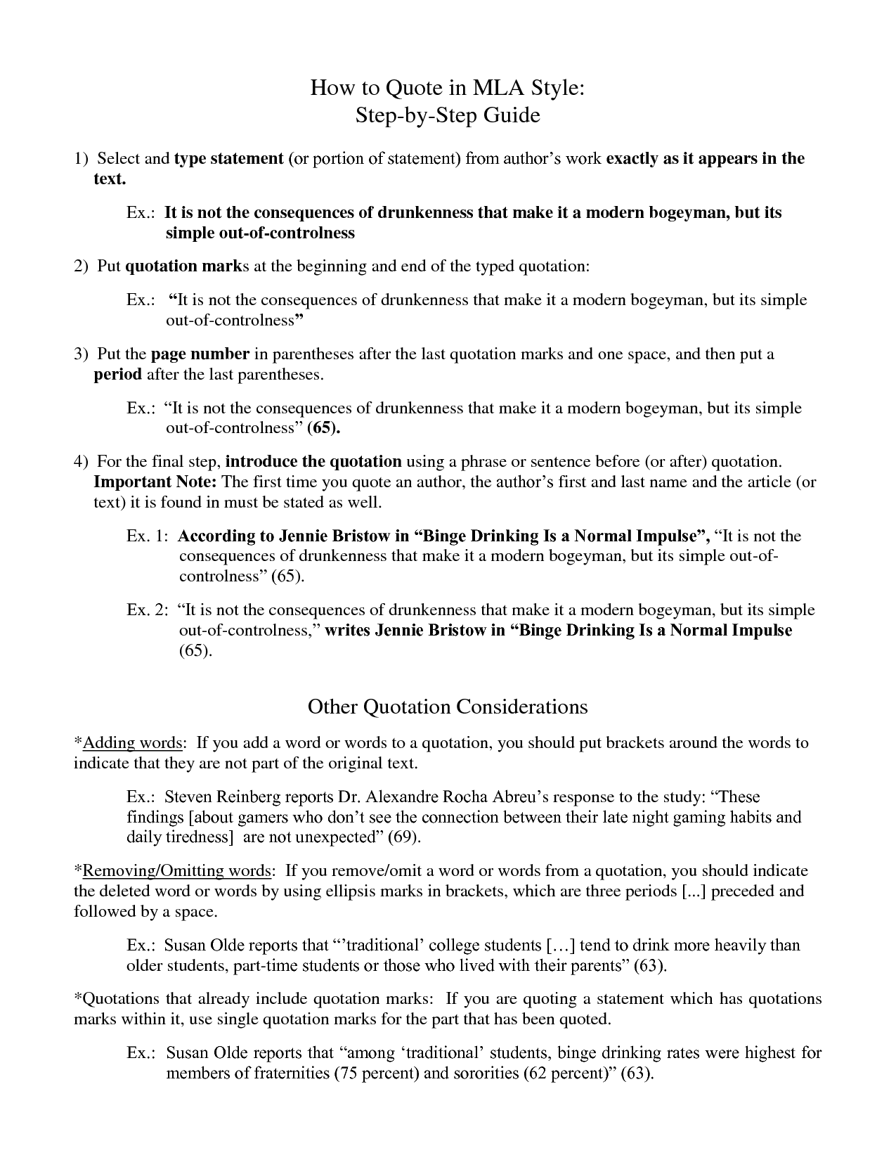
How to Quote in MLA Style
Citations and Style Guides
Book-Quotes-in-Mla-Format-12
Click to enlarge the illustrations
May 3, 2015 | Posted by in Uncategorized | Comments Off
... www.vallesphoto.com/wp-admin/images/mla-format-citation-after-quote
Mla Citation Journal Multiple Authors
Mla Citation Multiple Volumes
Cite-an-Author-in-MLA-Format-Step-5.jpg
MLA and APA Works Cited Citation Diagram
The first line of a citation is flush on the left margin and each ...
MLA Formatting, Quote Citations, and Works Cited
... direct quotation in a student paper (example follows MLA Style Manual
How To Handle Quotes MLA Style It is important to know how to ...
MLA Formatting, Quote Citations, and Works Cited
MLA Formatting, Quote Citations, and Works Cited
The Works Cited is its own page and must have the title centered at ...
Elements of a citation: Print Book , MLA style.
block quote sample1 Mla essay quotation format uncategorized Mla Format Quotes Essay Block Quote Example Dropped In Mla Format Quotes MLA Formatting, Quote Citations, and Works Cited Mla Long Quotes Upload Login Signup Embedding Quotes In Mla Click to enlarge the illustrations Quotes Mla Paper Mla Format Quotes Mla In Essay Quotes ... Indirect Quotation Practice, Indirect Quotation MLA, Indirect In Direct Quotes Mla ... mla format block quote 1280 x 720 95 kb jpeg mla format block quote Block Quotes Mla Abraham Lincoln quotes about religion Abraham Lincoln Quotes albert-einstein-quotes.png Albert Einstein Quotes Bill Gates Quotes I choose a lazy person to do a hard job. Because a ... Bill Gates Quotes Best Bob Marley Quotes 2013 5 Bob Marley Quotes

Quotes

  • Authors
  • Topics
  • Movie Quotes
  • TV Show Quotes

QuotesGram

  • About Us
  • Contact Us
  • Quote of the Day

Terms

  • Privacy Policy
  • Terms & Conditions
  • Copyright Complaint

Follow Us

  • Facebook
  • Twitter
  • Pinterest
  • Instagram

Share Quote

Report Quote

Your intellectual property
Thank you!

Add Quote




Thank you!

Login with

or
Looking to create an account?
Forgot your password?
Already have an account? Login