QuotesGram
  • Join
  • Authors
  • Topics
  • Movies
  • TV Shows

Putting Quotes In Mla

Thank you! Don't forget to confirm subscription in your email.

Putting Quotes
Example 2
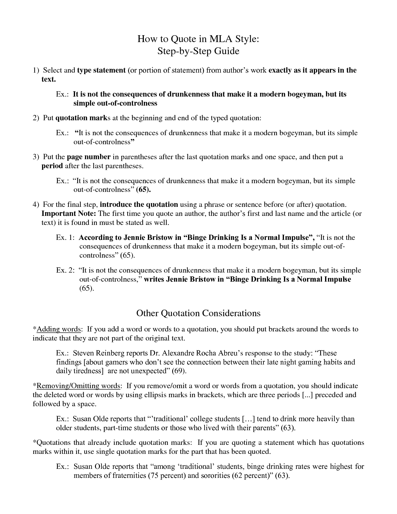
How to Use Quotes in MLA Style
Mla Citing A Play In Text Citation
Format-a-Block-Quote-Step-24.jpg
Understanding and Writing in the MLA Format Style
The Works Cited is its own page and must have the title centered at ...
Check it out, and happy citing!
MLA Formatting, Quote Citations, and Works Cited
Essays in Mla Format
Quotes Vs Italics Vs Underline ~ Essay Title Quotes Or Underline
MLA Formatting, Quote Citations, and Works Cited
Cite-an-Author-in-MLA-Format-Step-5.jpg
Home Uncategorized Mla format movie title in essay
Home Portfolio Vision Detail Services Consultancy In the press Contact
... to cite, put the cursor in the right spot, and click Insert again
MLA Style for Quotations How to Quote in MLA Style by MikeJenny
MLA Block Quote Examples
docstoc.comHow to Cite a Modern Play Using MLA Formatting
How to Put Quotes in Essay
To create a block quote:
long (or block) quotation,
Click to enlarge the illustrations
How To Block Quote In An Mla Paper
the quote would end (Herricks 122-123).
Mla In Text Citation Unknown Author
quote looks like the poem. To try and maintain the illusion, we put ...
INTEGRATING SOURCE MATERIAL USING MLA - DOC
Essay Outline Mla Format Example
MLA Formatting, Quote Citations, and Works Cited
How to Put a Quote in an Essay
Block quote of prose
MLA Internal Documentation by Q7FZLLB
quoting a long quote in mla format
January 19, 2015 By Uncategorized
mla-format-page-1
Do-a-Block-Quote-Step-2.jpg
Essay Quotes Mla Format
block quote sample1 Mla essay quotation format uncategorized Mla Format Quotes Essay Block Quote Example Dropped In Mla Format Quotes MLA Formatting, Quote Citations, and Works Cited Mla Long Quotes Upload Login Signup Embedding Quotes In Mla Click to enlarge the illustrations Quotes Mla Paper Mla Format Quotes Mla In Essay Quotes ... Indirect Quotation Practice, Indirect Quotation MLA, Indirect In Direct Quotes Mla ... mla format block quote 1280 x 720 95 kb jpeg mla format block quote Block Quotes Mla Abraham Lincoln quotes about religion Abraham Lincoln Quotes albert-einstein-quotes.png Albert Einstein Quotes Bill Gates Quotes I choose a lazy person to do a hard job. Because a ... Bill Gates Quotes Best Bob Marley Quotes 2013 5 Bob Marley Quotes

Quotes

  • Authors
  • Topics
  • Movie Quotes
  • TV Show Quotes

QuotesGram

  • About Us
  • Contact Us
  • Quote of the Day

Terms

  • Privacy Policy
  • Terms & Conditions
  • Copyright Complaint

Follow Us

  • Facebook
  • Twitter
  • Pinterest
  • Instagram

Share Quote

Report Quote

Your intellectual property
Thank you!

Add Quote




Thank you!

Login with

or
Looking to create an account?
Forgot your password?
Already have an account? Login