QuotesGram
  • Join
  • Authors
  • Topics
  • Movies
  • TV Shows

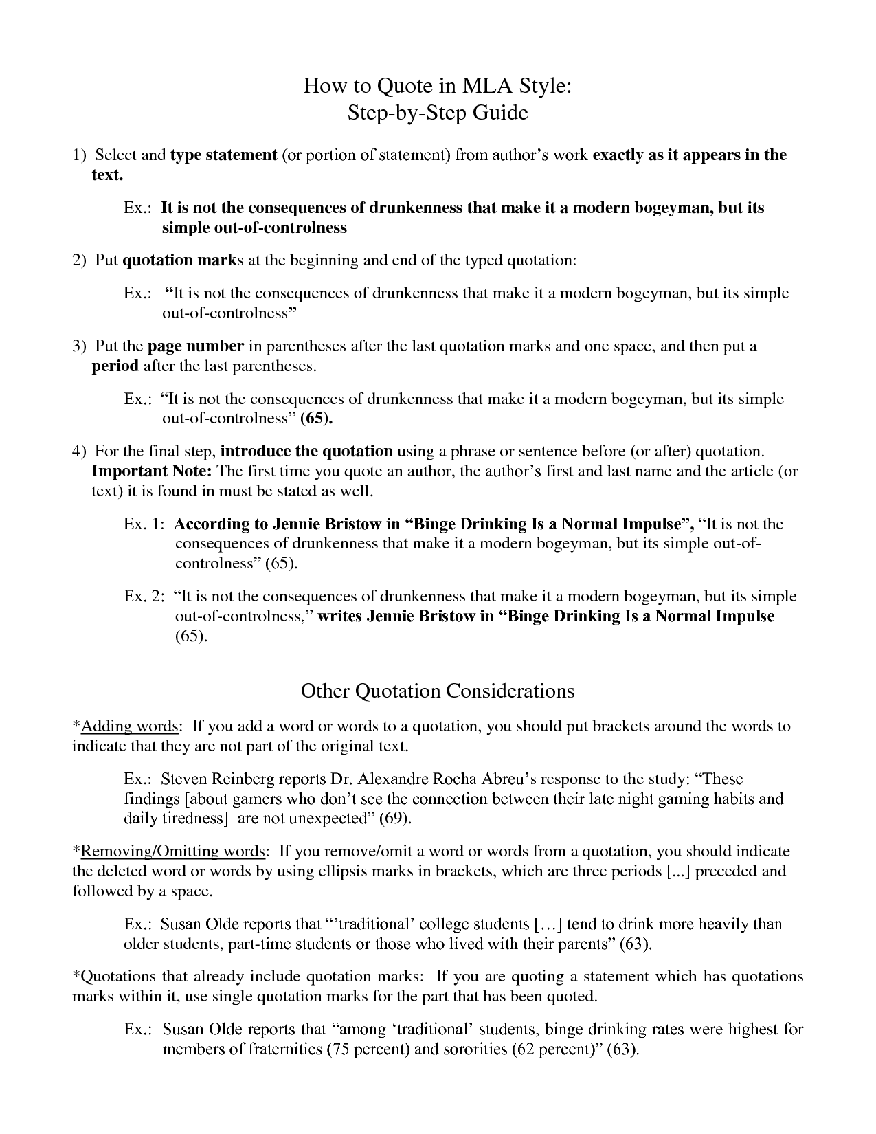
Putting Quotes In Mla Format

Thank you! Don't forget to confirm subscription in your email.

Putting Quotes
Format Quotes
Example 2
Block quote of prose
quote looks like the poem. To try and maintain the illusion, we put ...
Writing a college essay mla format
MLA Internal Documentation by Q7FZLLB
MLA Style for Quotations How to Quote in MLA Style by MikeJenny
Format-a-Block-Quote-Step-24.jpg
quoting a long quote in mla format
quote sample
How To Block Quote In An Mla Paper
Tables and Figures:
Blog.
Mla Style Essay Rules
MLA Formatting, Quote Citations, and Works Cited
Essay Quotes Mla Format
Format Essay 3 Closed Quotes and Ending Punctuation Revision Essay 3
page above is a sample of a works cited list. Any work that you quote ...
Research Paper Outline Mla Format
the quote would end (Herricks 122-123).
The following links pertain to Essay 4 (Persuasive Paper on (Same ...
Essay Quotes Mla Format
MLA Formatting, Quote Citations, and Works Cited
Who Got Into the Country’s Top Colleges?College admissions were ...
The Works Cited is its own page and must have the title centered at ...
MLA Format Lesson
80885561 Block text quotes mla uncategorized
mla-format-page-1
Check it out, and happy citing!
Quotes In An Essay In Mla Format
Cite-an-Author-in-MLA-Format-Step-5.jpg
INTEGRATING SOURCE MATERIAL USING MLA - DOC
Click to enlarge the illustrations
Do-a-Block-Quote-Step-2.jpg
Essays in Mla Format
Mla Format Movie Title In Essay
mla format
Click to enlarge the illustrations Mla Format Quotes From Book Essay Block Quote Example Dropped In Mla Format Quotes MLA Formatting, Quote Citations, and Works Cited Mla Format Examples Quotes MLA Formatting, Citation and Integrating quotation Proper Mla Format For Quotes MLA Formatting, Quote Citations, and Works Cited Quotes In Mla Format Paper Click to enlarge the illustrations Direct Quotes In Mla Format Abraham Lincoln quotes about religion Abraham Lincoln Quotes albert-einstein-quotes.png Albert Einstein Quotes Bill Gates Quotes I choose a lazy person to do a hard job. Because a ... Bill Gates Quotes Best Bob Marley Quotes 2013 5 Bob Marley Quotes Bruce Lee Quotes Bruce Lee Quotes Buddhism quotes, buddhism quotes on life, buddhist sayings Buddha Quotes

Quotes

  • Authors
  • Topics
  • Movie Quotes
  • TV Show Quotes

QuotesGram

  • About Us
  • Contact Us
  • Quote of the Day

Terms

  • Privacy Policy
  • Terms & Conditions
  • Copyright Complaint

Follow Us

  • Facebook
  • Twitter
  • Pinterest
  • Instagram

Share Quote

Report Quote

Your intellectual property
Thank you!

Add Quote




Thank you!

Login with

or
Looking to create an account?
Forgot your password?
Already have an account? Login