QuotesGram
  • Join
  • Authors
  • Topics
  • Movies
  • TV Shows

Recruiting Intern Quotes

Thank you! Don't forget to confirm subscription in your email.

Intern Quotes
Recruiting Quotes
Past Internships
Shine on you crazy internship experience!
... intern at USF, working for Coach Jennifer Azzi and her women's hoops
... recruitment careers jobs intern internship internships jobsearch
... recruitment careers jobs intern internship internships jobsearch
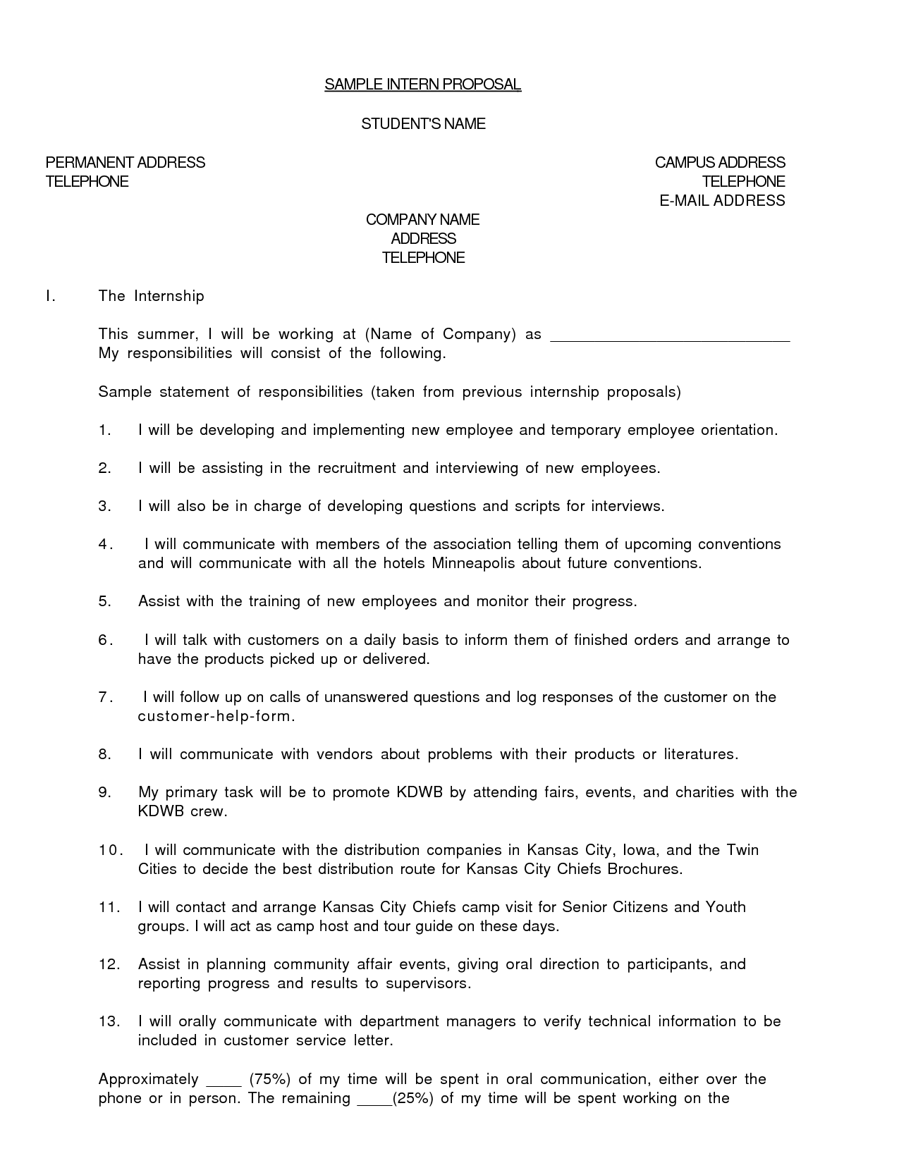
Sample Intern Proposal picture
Click here to see full-sized image.
Cover Letter For Outbound Customer Service Representative
Volunteer
Assessment Center à Londres : Une journée dans la peau d’un ...
upload_your_resume_meme
veterans-day-quotes10
... of Career Advice That SHOULD Be Ignored | The Savvy Intern by YouTern
The Internship’ review: welcome to Google’s island
Whether you are crafting, decorating, planning programming or need ...
Cathy's Adventures in MIST
آزمون الكترونيكي دوره HSE ويژه مديران ...
You searched for
recruitment-intern-internship-hr-personnel-job_interviews-ksmn3715l ...
The Number One Mistake People I Interview Are Making These Days
Recruiting The Best Talent
Staff Solutions will further add value by:
En el año 2011 la balanza comercial fue superavitaria en 10.347 ...
... Levels Job, Firstjob Cars Recruitment, Internship Entrylevel Cars
Recruitment season is quickly approaching, and sororities across the ...
intern1-1024x645.jpg
February 12, 2013 | by MirashaBr
16: Up next is a funny recruitment ad for potential school bus ...
Hiring People With Disabilities Isn’t Just the Right Thing to Do ...
We have unique experience in creating bespoke internship programmes ...
... ever conducted when I was an intern at IndustryWeek magazine
Previous post: Inspirational Quotes (Part 5)
Internships
Cold Call Resume Cover Letter | Sample Cold Call Cover Letters Cover ...
Human Resources Specialist
Health Care Sales Cover Letter
... Recruitment Excellence Awards and Conference event on May 14, 2013, in
Internships
... recruitment careers jobs intern internship internships jobsearch
The Sorority Recruitment Series: First Impressions
preview
Do Unpaid Internships Lead to Jobs? Not for College Students
New Website to Help ITS Internship Recruiting Efforts
Bangka Belitung Recruitment Sma Staff Non Cpns October
Maxine Quotes Maxine Birthday Funny Quotes Maxine Maxine Quotes Men Maxine Quotes For Work Quotes from Funny Intern Quotes Quotes from Internship Quotes The Internship The Internship Movie Quotes Slavenka & Obi Mentorship Quotes Funny Copy the link below to share an image of this quote: Inspirational Quotes For Interns Copy the link below to share an image of this quote: Feedback Quotes The arrogance of men never ceases to amaze me. You all think ... She Amazes Me Quotes Health and nutrition quotes Nutrition Quotes Kahlil Gibran Quotes HD Wallpaper 3 Kahlil Gibran Quotes russell wilson seattle seahawks photo quote by arleyartemporium $ 15 ... Seahawks Quotes

Quotes

  • Authors
  • Topics
  • Movie Quotes
  • TV Show Quotes

QuotesGram

  • About Us
  • Contact Us
  • Quote of the Day

Terms

  • Privacy Policy
  • Terms & Conditions
  • Copyright Complaint

Follow Us

  • Facebook
  • Twitter
  • Pinterest
  • Instagram

Share Quote

Report Quote

Your intellectual property
Thank you!

Add Quote




Thank you!

Login with

or
Looking to create an account?
Forgot your password?
Already have an account? Login