QuotesGram
  • Join
  • Authors
  • Topics
  • Movies
  • TV Shows

Typing Quotes Mla

Thank you! Don't forget to confirm subscription in your email.

Typing Quotes
format-a-block-quote.jpg
Below is a sample of an essay in MLA format:
Mla format name of essay writing services for college students sample ...
mla citations purdue u owl guide mla paraphrase quote exercise
... writing an example of documentation, quotations guidelines. Were
owl purdue quotations mla
Home Uncategorized Mla format movie title in essay
Mla citing powerpoint
How to Cite Social Media in Scholarly Writing
Sample Pages of a Research Paper in MLA Style
quote sample
File Name : block-quote.png Resolution : 1024 x 768 pixel Image Type ...
Mla Writing Format Example
In text citation play mla format
Email This BlogThis! Share to Twitter Share to Facebook Share to ...
essay quotes mla format
WOOD TYPES:
MLA Quote by MikeJenny
Block Quote Instructions...
: block-quote-sample1.jpg Resolution : 1366 x 768 pixel Image Type ...
... .JPG Resolution : 960 x 720 pixel Image Type : jpeg File Size : 49 kB
Typing your Works Cited page in MLA format
Mla Essay Title In Quotes
Research Paper How To Quote
Essay with MLA Format | MLA Essay Format | English Essay MLA Format
How to properly quote a poem?
MLA Formatting, Quote Citations, and Works Cited
Remove the hypertext from the Internet address, if required.
Mla Citing A Play In Text Citation
MLA Format Essay
MLA Formatting, Quote Citations, and Works Cited
How to cite in text mla two authors | write my paper one day
MLA Format Quotes
Block quote of prose
Writing a Five Paragraph Essay
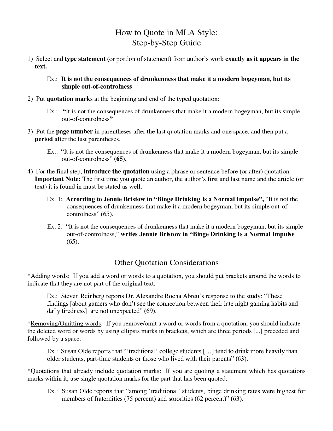
MLA Style for Quotations How to Quote in MLA Style by MikeJenny
CliCK GO mla essay format template Grand Canyon University Professor
MLA Formatting, Quote Citations, and Works Cited Mla Long Quotes Mla How To Cite Website With No Author Quotes From Book Mla Online How to cite a website in a bibliography using MLA. The most basic ... Mla Citing Quotes mla-format-page-1 Quotes Page Numbers Mla MLA Formatting, Citation and Integrating quotation Proper Mla Format For Quotes Essay quotes mla format - Refresh Miami Quotes From Articles Mla Abraham Lincoln quotes about religion Abraham Lincoln Quotes albert-einstein-quotes.png Albert Einstein Quotes Bill Gates Quotes I choose a lazy person to do a hard job. Because a ... Bill Gates Quotes Best Bob Marley Quotes 2013 5 Bob Marley Quotes Bruce Lee Quotes Bruce Lee Quotes Buddhism quotes, buddhism quotes on life, buddhist sayings Buddha Quotes

Quotes

  • Authors
  • Topics
  • Movie Quotes
  • TV Show Quotes

QuotesGram

  • About Us
  • Contact Us
  • Quote of the Day

Terms

  • Privacy Policy
  • Terms & Conditions
  • Copyright Complaint

Follow Us

  • Facebook
  • Twitter
  • Pinterest
  • Instagram

Share Quote

Report Quote

Your intellectual property
Thank you!

Add Quote




Thank you!

Login with

or
Looking to create an account?
Forgot your password?
Already have an account? Login