QuotesGram
  • Join
  • Authors
  • Topics
  • Movies
  • TV Shows

Mla Format Quotes From Book

Thank you! Don't forget to confirm subscription in your email.

Book Quotes
Format Quotes
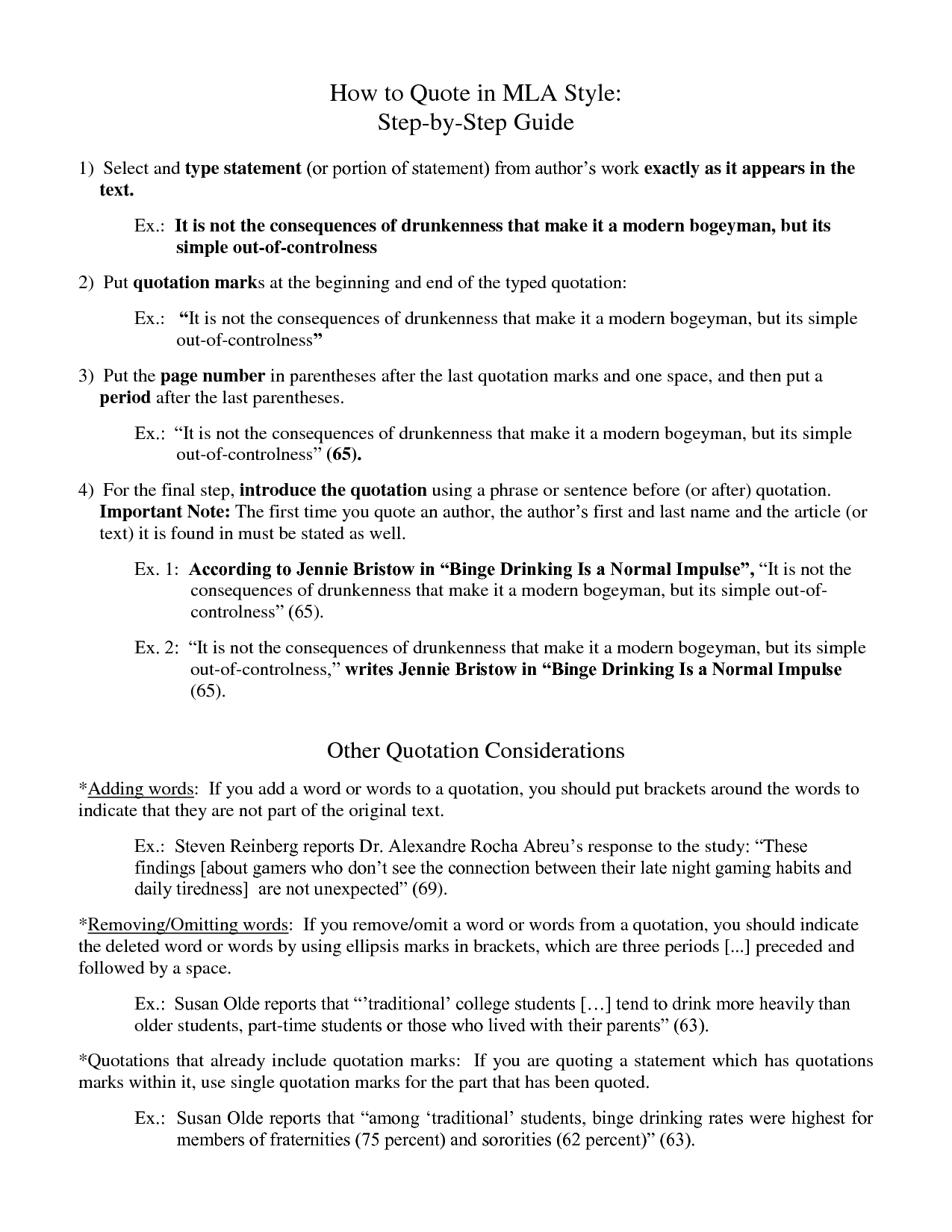
How to Quote in MLA Style
Mla format text citation websites
... if same person wrote whole book, then look at the beginning of book
Click to enlarge the illustrations
Home Uncategorized Essay quotes mla format
Screen Shot 2014-03-31 at 5.39.34 PM
Mla Format Citing A Book In An Essay
Citations and Style Guides
docstoc.comMLA Format In-Text Citation,
Book-Quotes-in-Mla-Format-43
Published 29 May 2011 at 520 × 309 in MLA Format Papers: Step-by-step ...
... www.vallesphoto.com/wp-admin/images/mla-format-citation-after-quote
Mla format ppt
Mla Citation Quoted In Another Source
The first line of a citation is flush on the left margin and each ...
mla-format-page-1
format-a-block-quote.jpg
Posted in Sin categoría .
MLA Format MLA REMINDERS Quote by MikeJenny
How to Quote a Book in MLA Format
MLA Formatting, Quote Citations, and Works Cited
MLA Formatting, Citation and Integrating quotation
MLA Formatting, Citation and Integrating quotation
Home Portfolio Vision Detail Services Consultancy In the press Contact
Essays in Mla Format
Book-Quotes-in-Mla-Format-12
MLA Formatting, Citation and Integrating quotation
In Text Citation Mla Format Poem
Citing from an online database (MLA):
Essay quotes mla format - Refresh Miami
Author's name. Title of the book . Place of publication: Publisher's ...
Read More About Quotations
sdl-MLA_AudioBook.gif
Home Uncategorized Mla essay quote citing
hacker orlov mla quote mla formatting citation and integrating ...
MLA Formatting, Quote Citations, and Works Cited
MLA Formatting, Citation and Integrating quotation
Mla Research Paper Citation Website
Type My Essay Mla Format Write essay format Pay Someone ...
MLA Formatting, Citation and Integrating quotation
mla format
The Works Cited is its own page and must have the title centered at ...
MLA Formatting, Quote Citations, and Works Cited Mla Format Examples Quotes Abraham Lincoln quotes about religion Abraham Lincoln Quotes albert-einstein-quotes.png Albert Einstein Quotes Bill Gates Quotes I choose a lazy person to do a hard job. Because a ... Bill Gates Quotes Best Bob Marley Quotes 2013 5 Bob Marley Quotes Bruce Lee Quotes Bruce Lee Quotes Buddhism quotes, buddhism quotes on life, buddhist sayings Buddha Quotes Confucius Beauty Quotes Confucius Quotes john f kennedy jfk quotes 6 John F. Kennedy Quotes John-lennon-quote-on-life.jpg John Lennon Quotes Mahatma Gandhi Quotes Mahatma Gandhi Quotes ... monroe quotes marilyn monroe love quotes marilyn monroes quotes quotes Marilyn Monroe Quotes

Quotes

  • Authors
  • Topics
  • Movie Quotes
  • TV Show Quotes

QuotesGram

  • About Us
  • Contact Us
  • Quote of the Day

Terms

  • Privacy Policy
  • Terms & Conditions
  • Copyright Complaint

Follow Us

  • Facebook
  • Twitter
  • Pinterest
  • Instagram

Share Quote

Report Quote

Your intellectual property
Thank you!

Add Quote




Thank you!

Login with

or
Looking to create an account?
Forgot your password?
Already have an account? Login