QuotesGram
  • Join
  • Authors
  • Topics
  • Movies
  • TV Shows

Riemann Quotes

Thank you! Don't forget to confirm subscription in your email.

Contemporaries Research : Mathematician
Math Students
Quotes Picture: things happen for a reason, if u have enough ...
Bernhard Riemann Quotes
Via Corrina Riemann
... mathematicians now is probably the Riemann Hypothesis. - Andrew Wiles
Mathematicians born in the same country
MidRiemann2.PNG
Copy the link below to share an image of this quote:
Books Mentioned in the Display
Famous Mathematicians
Quotes Picture: you never know what you had until it's gone
Riemann Bernhard. 1826-1866. German mathematician and educator.
Cevap: Max Planck hayatı
Cover - Ich bin die Andere
If one were to bring ten of the wisest men in the world together and ...
if somewhere down the line you could ask a computer if the Riemann ...
Cartoon: Men (medium) by Riemann tagged beziehung,drama,verkehr
German Democratic Republic 1983
... , my first question would be: Has the Riemann hypothesis been proven
Showing Gallery For G F Bernhard Riemann
rightboxgraph.gif
Grothendieck : disparition d’un génie des maths
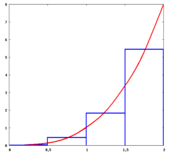
Image of Riemann sum
Cognition, brains and Riemann
Short biography of Bernhard Riemann >>
Alex Grothendieck:
Via Faith Voges
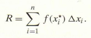
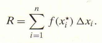
Riemann Sums:
... problem for mathematicians now is probably the Riemann Hypothesis
... of Lobachevsky and Riemann, Gauss and Sylvester. - Nicholas M. Butler
Erich Fromm
Funny Quotes Contact Us DMCA Notice
Dr. Zoidberg, trying out Shakespeare
Prime Obsession: Bernhard Riemann and the Greatest Unsolved Problem in ...
Quotes Picture: you never know what you had until it's gone
Bernhard Riemann
Sometimes you just have to erase the messages, delete the numbers and ...
and another page from the paper.
Bernhard Riemann Quotes
Funny Quotes Contact Us DMCA Notice
JOHNNY CASH! www.kustomkufflinks.com Find us at these as well: http ...
Funny Quotes Contact Dmca...
Bernhard Riemann
Fomalhaut is the only ONE of the FOUR Royal Stars NOT occulted by ...
Abraham Lincoln quotes about religion Abraham Lincoln Quotes albert-einstein-quotes.png Albert Einstein Quotes Bill Gates Quotes I choose a lazy person to do a hard job. Because a ... Bill Gates Quotes Best Bob Marley Quotes 2013 5 Bob Marley Quotes Bruce Lee Quotes Bruce Lee Quotes Buddhism quotes, buddhism quotes on life, buddhist sayings Buddha Quotes Confucius Beauty Quotes Confucius Quotes john f kennedy jfk quotes 6 John F. Kennedy Quotes John-lennon-quote-on-life.jpg John Lennon Quotes Mahatma Gandhi Quotes Mahatma Gandhi Quotes ... monroe quotes marilyn monroe love quotes marilyn monroes quotes quotes Marilyn Monroe Quotes mark twain quotes sayings Mark Twain Quotes

Quotes

  • Authors
  • Topics
  • Movie Quotes
  • TV Show Quotes

QuotesGram

  • About Us
  • Contact Us
  • Quote of the Day

Terms

  • Privacy Policy
  • Terms & Conditions
  • Copyright Complaint

Follow Us

  • Facebook
  • Twitter
  • Pinterest
  • Instagram

Share Quote

Report Quote

Your intellectual property
Thank you!

Add Quote




Thank you!

Login with

or
Looking to create an account?
Forgot your password?
Already have an account? Login